2.1 How familiar are you with what is written about public health and life skills (FoL) in LK20?
Figur 2.1.How familiar are you with what is written about public health and life skills (FoL) in LK20?. N = 289, Figurdata (XLSX), PNG. (SLQ6)
2.2 To what extent do you agree that the introduction of public health and life skills (FoL) in LK20
Figur 2.2.To what extent do you agree that the introduction of public health and life skills (FoL) in LK20. N = [277–279], Figurdata (XLSX), PNG. (SLQ7_1,SLQ7_2,SLQ7_3,SLQ7_4)
2.3 How do you view teachers’ work with public health and life skills (FoL) at your school? By teachers we mean, for example, subject teachers, homeroom/contact teachers and special education teachers; the position may be full-time, part-time or temporary.
Figur 2.3.How do you view teachers’ work with public health and life skills (FoL) at your school? By teachers we mean, for example, subject teachers, homeroom/contact teachers and special education teachers; the position may be full-time, part-time or temporary.. N = [274–276], Figurdata (XLSX), PNG. (SLQ8_1,SLQ8_2,SLQ8_3,SLQ8_4)
2.4 How do you work with public health and life skills (FoL) at your school?
Figur 2.4.How do you work with public health and life skills (FoL) at your school?. N = [263–273], Figurdata (XLSX), PNG. (SLQ10_1,SLQ10_2,SLQ10_3,SLQ10_4,SLQ10_5,SLQ10_6,SLQ11_1,SLQ11_2,SLQ11_3,SLQ11_4,SLQ11_5)
2.5 To what extent do teachers collaborate with other occupational groups in and outside the school in work with public health and life skills?
Figur 2.5.To what extent do teachers collaborate with other occupational groups in and outside the school in work with public health and life skills?. N = [96–254], Figurdata (XLSX), PNG. (SLQ12_1,SLQ12_2,SLQ12_3,SLQ12_4,SLQ12_5,SLQ12_6,SLQ12_7,SLQ12_8,SLQ12_9,SLQ12_10,SLQ12_11)
2.6 To what extent does your school use various programs/initiatives in work with public health and life skills?
Figur 2.6.To what extent does your school use various programs/initiatives in work with public health and life skills?. N = [72–253], Figurdata (XLSX), PNG. (SLQ13_1,SLQ13_2,SLQ13_3,SLQ13_4)
2.7 Does your school carry out evaluations of the work with public health and life skills?
Figur 2.7.Does your school carry out evaluations of the work with public health and life skills?. N = 262, Figurdata (XLSX), PNG. (SLQ15)
2.8 Who is involved in such evaluations?
Figur 2.8.Who is involved in such evaluations?. N = [176–189], Figurdata (XLSX), PNG. (SLQ16_1,SLQ16_2,SLQ16_3,SLQ16_4,SLQ16_5,SLQ16_6,SLQ16_7,SLQ16_8)
2.9 Below we list some statements about the school’s/teachers’ opportunities and ability to provide all students with good learning conditions. Please assess how the statements fit your school.
Figur 2.9.Below we list some statements about the school’s/teachers’ opportunities and ability to provide all students with good learning conditions. Please assess how the statements fit your school.. N = [247–249], Figurdata (XLSX), PNG. (SLQ18_1,SLQ18_2,SLQ18_3,SLQ18_4,SLQ18_5,SLQ18_6,SLQ19_1,SLQ19_2,SLQ19_3,SLQ19_4,SLQ19_5,SLQ19_6)
2.10 Below are some statements about work with public health and life skills (FoL) carried out by the school owner. To what extent do they fit your (county) municipality?
Figur 2.10.Below are some statements about work with public health and life skills (FoL) carried out by the school owner. To what extent do they fit your (county) municipality?. N = [243–246], Figurdata (XLSX), PNG. (SLQ20_1,SLQ20_2,SLQ20_3,SLQ20_4,SLQ20_5,SLQ20_6,SLQ20_7)
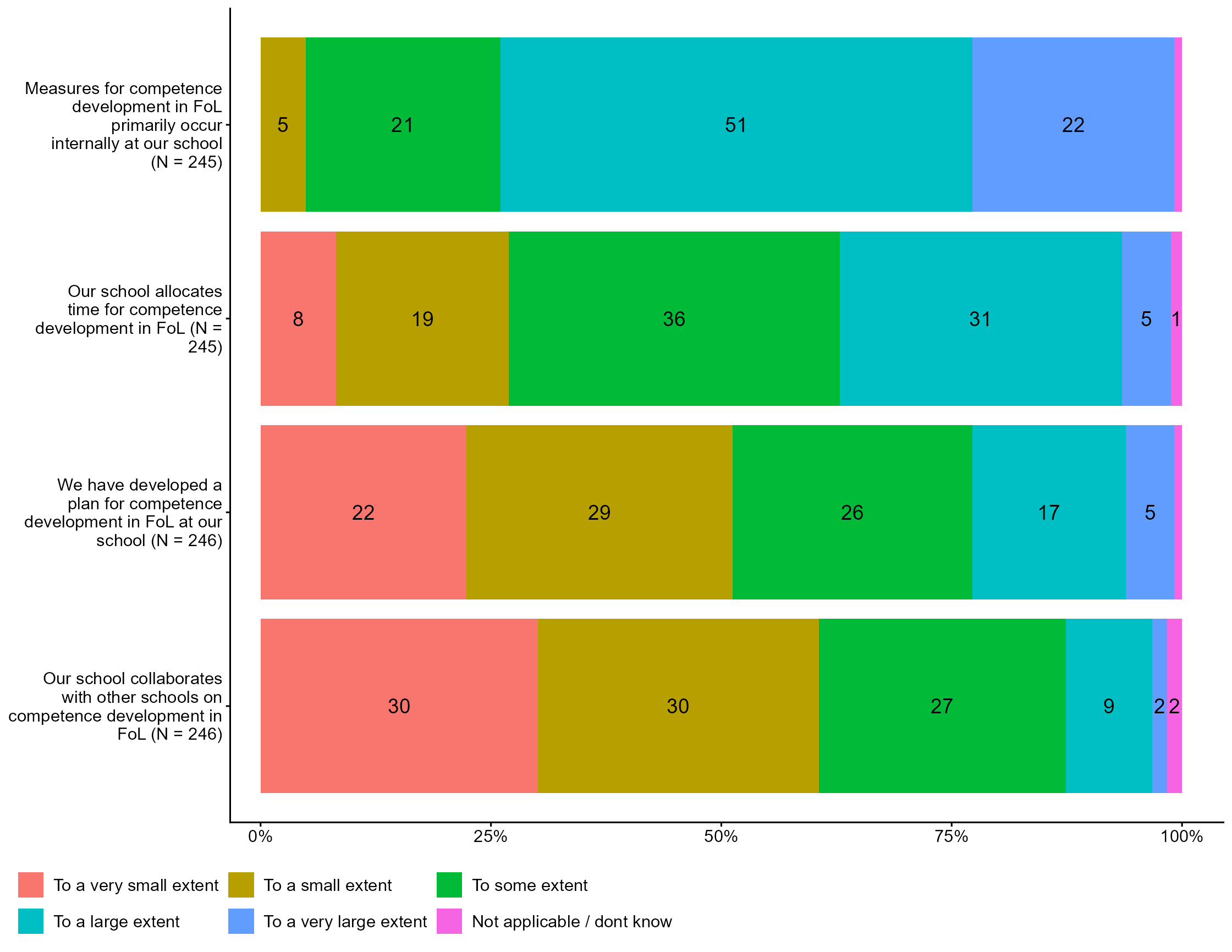
2.11 To what extent do you agree with the following statements about competence development within public health and life skills (FoL)?
Figur 2.11.To what extent do you agree with the following statements about competence development within public health and life skills (FoL)?. N = [245–246], Figurdata (XLSX), PNG. (SLQ21_1,SLQ21_2,SLQ21_3,SLQ21_4)
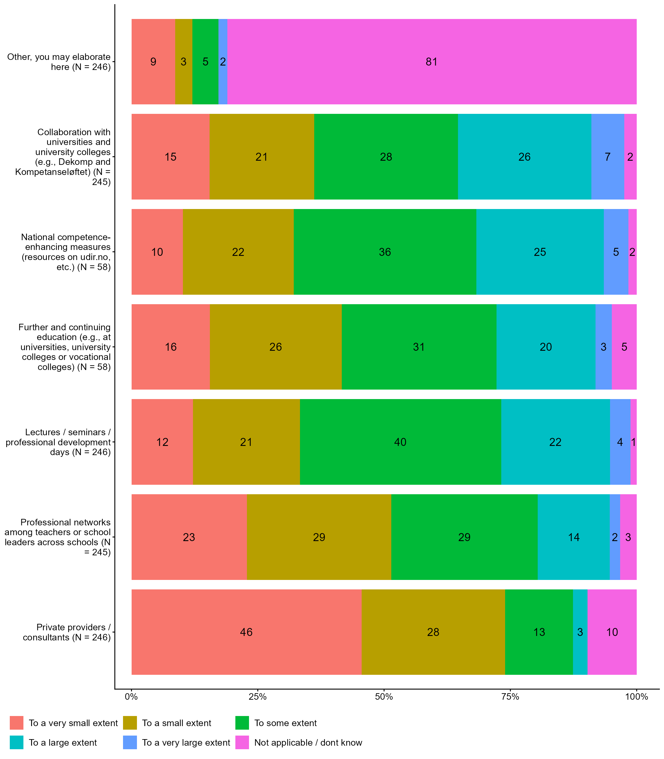
2.12 To what extent are staff at your school offered the following competence-enhancing measures in public health and life skills?
Figur 2.12.To what extent are staff at your school offered the following competence-enhancing measures in public health and life skills?. N = [58–246], Figurdata (XLSX), PNG. (SLQ22_1,SLQ22_2,SLQ22_3,SLQ22_4,SLQ22_5,SLQ22_6,SLQ22_7)
2.13 To what extent do you agree with the following statements about resource use related to work with public health and life skills (FoL)? By resources we mean, for example, financial support or extra preparation time, reduced teaching time for homeroom/contact teachers to follow up individual students, hiring professionals such as school support workers or milieu therapists to support work with relationships, conflict management and social initiatives.
Figur 2.13.To what extent do you agree with the following statements about resource use related to work with public health and life skills (FoL)? By resources we mean, for example, financial support or extra preparation time, reduced teaching time for homeroom/contact teachers to follow up individual students, hiring professionals such as school support workers or milieu therapists to support work with relationships, conflict management and social initiatives.. N = [252–253], Figurdata (XLSX), PNG. (SLQ23_1,SLQ23_2,SLQ23_3)
2.14 Overall, to what extent do you feel that the introduction of public health and life skills in LK20 has improved the school’s work with students’
Figur 2.14.Overall, to what extent do you feel that the introduction of public health and life skills in LK20 has improved the school’s work with students’. N = 254, Figurdata (XLSX), PNG. (SLQ24_1,SLQ24_2,SLQ24_3)
2.15 What is your position at the school?
Figur 2.15.What is your position at the school?. N = 252, Figurdata (XLSX), PNG. (SLQ26)
2.16 Is your position linked to specific grade levels or programmes of study?
Figur 2.16.Is your position linked to specific grade levels or programmes of study?. N = 251, Figurdata (XLSX), PNG. (SLQ27_1,SLQ27_2,SLQ27_3,SLQ27_4,SLQ27_5,SLQ27_6,SLQ27_7,SLQ27_8)
2.17 Approximately how many years have you worked in school leadership?
Figur 2.17.Approximately how many years have you worked in school leadership?. N = 244, Figurdata (XLSX), PNG. (SLQ28_DERIVED)
2.18 Approximately how many years of higher education do you have that are relevant to working as a school leader?
Figur 2.18.Approximately how many years of higher education do you have that are relevant to working as a school leader?. N = 245, Figurdata (XLSX), PNG. (SLQ29_DERIVED)